Graham Shawcross PhD Architect
Skip to content
Home
About
←
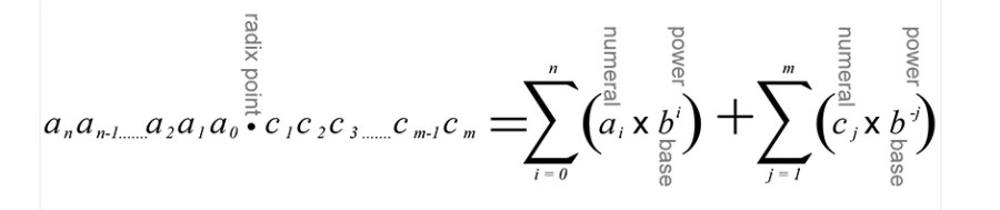
Place Value
/Users/grahamshawcross/Documents/blog_drafts/places_values/Place
By
Graham Shawcross
|
Published
September 26, 2015
|
Full size is
940 × 198
pixels
/Users/grahamshawcross/Documents/blog_drafts/places_values/Roman
Bookmark the
permalink
.
Leave a comment
Cancel reply
Δ
Comment
Subscribe
Subscribed
grahamshawcross.com
Join 66 other subscribers
Sign me up
Already have a WordPress.com account?
Log in now.
grahamshawcross.com
Subscribe
Subscribed
Sign up
Log in
Copy shortlink
Report this content
View post in Reader
Manage subscriptions
Collapse this bar