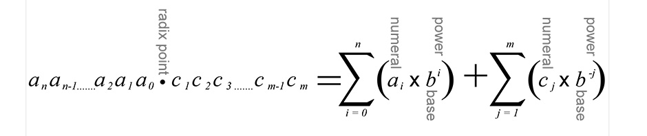
Laplace “The ingenious method of expressing every possible number using a set of ten symbols (each symbol having a place value and an absolute value) emerged in India. The idea seems so simple nowadays that its significance and profound importance … Continue reading Place Value
Copy and paste this URL into your WordPress site to embed
Copy and paste this code into your site to embed